Abstract
Background: Brentuximab vedotin (Bv) is an anti-CD30 antibody conjugated via a protease-cleavable linker to the anti-microtubule agent monomethyl auristatin E (MMAE). It is FDA approved for the treatment of classic Hodgkin lymphoma (cHL) and CD30-expressing T-cell lymphomas in both upfront and relapsed/refractory (R/R) settings. The most common side effects in the original registration trials (ECHELON-1, ECHELON-2, AETHERA) include peripheral neuropathy and cytopenias. With its expanded use in real world settings, it is imperative to identify less-established adverse events which may also result in dose delays or reductions. Pulmonary toxicity is a rare but potentially life-threatening side effect of Bv, but few studies have characterized this toxicity in the adult and pediatric populations. Here, we characterize the incidence and risk factors of developing Bv-associated pulmonary toxicity in patients with lymphoma.
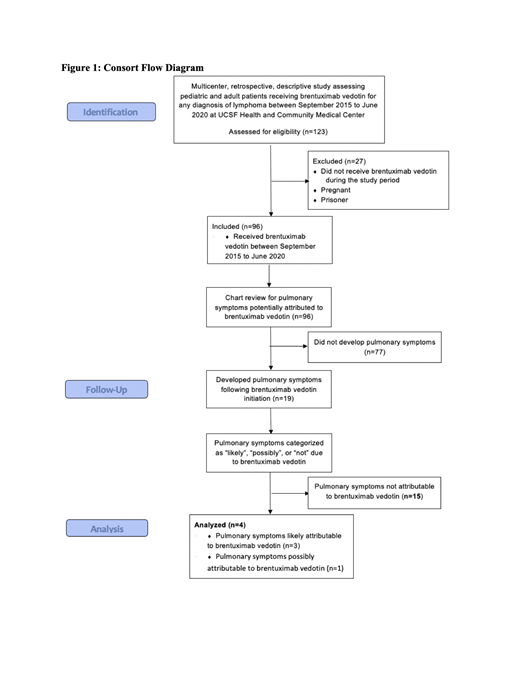
Methods: We conducted a multicenter, retrospective, descriptive study of patients receiving Bv at University of California San Francisco Health in San Francisco, CA and Community Medical Center in Fresno, CA. Adult and pediatric patients were included if they received at least one dose of Bv between June 1, 2015 and September 30, 2020. Retrospective chart review was conducted to identify patients who developed respiratory symptoms concerning for Bv-induced pneumonitis. Past medical history, smoking history, and prior administration of pulmonary toxic agents were collected to assess for risk factors contributing to Bv-associated pulmonary toxicity. Respiratory symptoms were classified as likely related, possibly related, or not related to Bv.
Patients were identified to have pulmonary toxicities likely related to Bv if they satisfied the following criteria: development of respiratory symptoms with a temporal relation to Bv, suggestive chest imaging or pulmonary function tests (PFTs), rule out of other etiologies including infectious causes, and relief of symptoms with steroid treatment and/or Bv discontinuation at the physician's discretion. Patients were identified to have pulmonary toxicities possibly related to Bv if they satisfied the following criteria: development of respiratory symptoms with a temporal relation to Bv, equivocal chest imaging or PFTs, inability to fully rule out other etiologies, and relief of symptoms with steroid treatment or Bv discontinuation at the physician's discretion. Data is reported using descriptive statistics. A consort flow diagram of the selection process is depicted in Figure 1.
Results: A total of 123 patients were reviewed, of whom 27 were excluded due to pregnancy, prisoner status, or not having received Bv during the study period. 96 patients were included in the final analysis. Baseline characteristics are captured in Table 1. Following Bv administration, 19 of the 96 patients developed pulmonary symptoms (dry cough, shortness of breath, dyspnea on exertion, chest pain, or hypoxic respiratory failure not justified by a competing process). Based on the prespecified definitions, we identified four patients (4.2%) who developed respiratory symptoms concerning for Bv-induced toxicity. The mean age of the four patients was 51 (range 28-76) and one patient was female. One patient received Bv in the upfront setting for cHL, one had R/R cHL, and the remaining two had anaplastic large cell lymphoma (ALCL). One patient previously received pulmonary toxic agents (gemcitabine and carmustine) and two patients had a history of tobacco use. The cumulative doses of Bv the four patients received prior to developing respiratory symptoms ranged from 8.8 to 30.4 mg/kg (6-21 cycles). Three patients were classified as likely related based on supportive findings on chest imaging or PFTs and one patient was classified as possibly related given lack of definitive evidence to differentiate between pneumonitis and disease progression. Three of the four patients developed symptoms requiring steroid treatment and two required Bv dose reduction and/or discontinuation.
Conclusions: This study is an effort to raise awareness of the incidence of Bv-induced pulmonary toxicity and describe the potential risk factors associated with this adverse event. Further real world studies in larger and diverse patient populations are necessary to better characterize the incidence and risk factors associated with Bv-associated pulmonary toxicities.
Lo: EUSA Pharma: Consultancy; Oncopeptides: Consultancy. Ai: Kymria, Kite, ADC Therapeutics, BeiGene: Consultancy. Abdulhaq: BMS, Alexion, Oncopeptides, Morphosys, Pfizer, Norvartis: Honoraria; Oncopeptides, Alexion, Amgen: Speakers Bureau; Morphosys, BMS, Amgen: Membership on an entity's Board of Directors or advisory committees. Fakhri: Loxo/Lilly: Research Funding.
